Can You Heat Water In A Styrofoam Cup . is styrofoam toxic and can you microwave styrofoam? “the fda keeps a close eye and tests polystyrene food containers,” amidor says. However, not all foam containers should be microwaved. Food and drug administration (fda) has deemed polystyrene food containers and packaging to be safe for hot and cold food items. Containers made from styrofoam or expanded polystyrene (eps) foam are not safe to use in a microwave, unless they have a. However, be sure to follow the instructions. can you microwave a foam cup with water in it? can you microwave styrofoam? In the case of plastics, some types of containers can be. Yes, you can microwave a foam cup with water in it. is it safe to microwave? “the packaging is safe for hot. when you place a styrofoam cup in the microwave, the electromagnetic waves generated by the microwave cause.
from www.walmart.com
when you place a styrofoam cup in the microwave, the electromagnetic waves generated by the microwave cause. is styrofoam toxic and can you microwave styrofoam? Containers made from styrofoam or expanded polystyrene (eps) foam are not safe to use in a microwave, unless they have a. “the packaging is safe for hot. can you microwave styrofoam? Yes, you can microwave a foam cup with water in it. is it safe to microwave? Food and drug administration (fda) has deemed polystyrene food containers and packaging to be safe for hot and cold food items. “the fda keeps a close eye and tests polystyrene food containers,” amidor says. can you microwave a foam cup with water in it?
8 Oz Disposable Styrofoam Cups (50 Pack), White Foam Cup Insulates Hot
Can You Heat Water In A Styrofoam Cup when you place a styrofoam cup in the microwave, the electromagnetic waves generated by the microwave cause. when you place a styrofoam cup in the microwave, the electromagnetic waves generated by the microwave cause. is it safe to microwave? However, not all foam containers should be microwaved. Food and drug administration (fda) has deemed polystyrene food containers and packaging to be safe for hot and cold food items. “the packaging is safe for hot. can you microwave a foam cup with water in it? However, be sure to follow the instructions. Yes, you can microwave a foam cup with water in it. is styrofoam toxic and can you microwave styrofoam? can you microwave styrofoam? “the fda keeps a close eye and tests polystyrene food containers,” amidor says. Containers made from styrofoam or expanded polystyrene (eps) foam are not safe to use in a microwave, unless they have a. In the case of plastics, some types of containers can be.
From www.alamy.com
Stack of styrofoam cups on white background Stock Photo Alamy Can You Heat Water In A Styrofoam Cup “the packaging is safe for hot. is it safe to microwave? Containers made from styrofoam or expanded polystyrene (eps) foam are not safe to use in a microwave, unless they have a. However, be sure to follow the instructions. can you microwave styrofoam? is styrofoam toxic and can you microwave styrofoam? “the fda keeps a close eye. Can You Heat Water In A Styrofoam Cup.
From deepseanews.com
How to shrink a styrofoam cup and other side effects of deep ocean Can You Heat Water In A Styrofoam Cup However, be sure to follow the instructions. is styrofoam toxic and can you microwave styrofoam? can you microwave a foam cup with water in it? when you place a styrofoam cup in the microwave, the electromagnetic waves generated by the microwave cause. Containers made from styrofoam or expanded polystyrene (eps) foam are not safe to use in. Can You Heat Water In A Styrofoam Cup.
From www.walmart.com
8 Oz Disposable Styrofoam Cups (50 Pack), White Foam Cup Insulates Hot Can You Heat Water In A Styrofoam Cup when you place a styrofoam cup in the microwave, the electromagnetic waves generated by the microwave cause. is styrofoam toxic and can you microwave styrofoam? can you microwave styrofoam? Yes, you can microwave a foam cup with water in it. can you microwave a foam cup with water in it? “the fda keeps a close eye. Can You Heat Water In A Styrofoam Cup.
From www.dreamstime.com
Styrofoam Cup with Hot Coffee Stock Image Image of aroma, package Can You Heat Water In A Styrofoam Cup Yes, you can microwave a foam cup with water in it. is it safe to microwave? However, not all foam containers should be microwaved. “the packaging is safe for hot. when you place a styrofoam cup in the microwave, the electromagnetic waves generated by the microwave cause. is styrofoam toxic and can you microwave styrofoam? “the fda. Can You Heat Water In A Styrofoam Cup.
From promotionalchina.com
Styrofoam Cups 20 Oz Ideal Can You Heat Water In A Styrofoam Cup when you place a styrofoam cup in the microwave, the electromagnetic waves generated by the microwave cause. “the fda keeps a close eye and tests polystyrene food containers,” amidor says. “the packaging is safe for hot. can you microwave a foam cup with water in it? Containers made from styrofoam or expanded polystyrene (eps) foam are not safe. Can You Heat Water In A Styrofoam Cup.
From dxolsuxky.blob.core.windows.net
Can You Put Hot Water In Styrofoam at Judith Chitty blog Can You Heat Water In A Styrofoam Cup is it safe to microwave? Yes, you can microwave a foam cup with water in it. Containers made from styrofoam or expanded polystyrene (eps) foam are not safe to use in a microwave, unless they have a. In the case of plastics, some types of containers can be. is styrofoam toxic and can you microwave styrofoam? However, be. Can You Heat Water In A Styrofoam Cup.
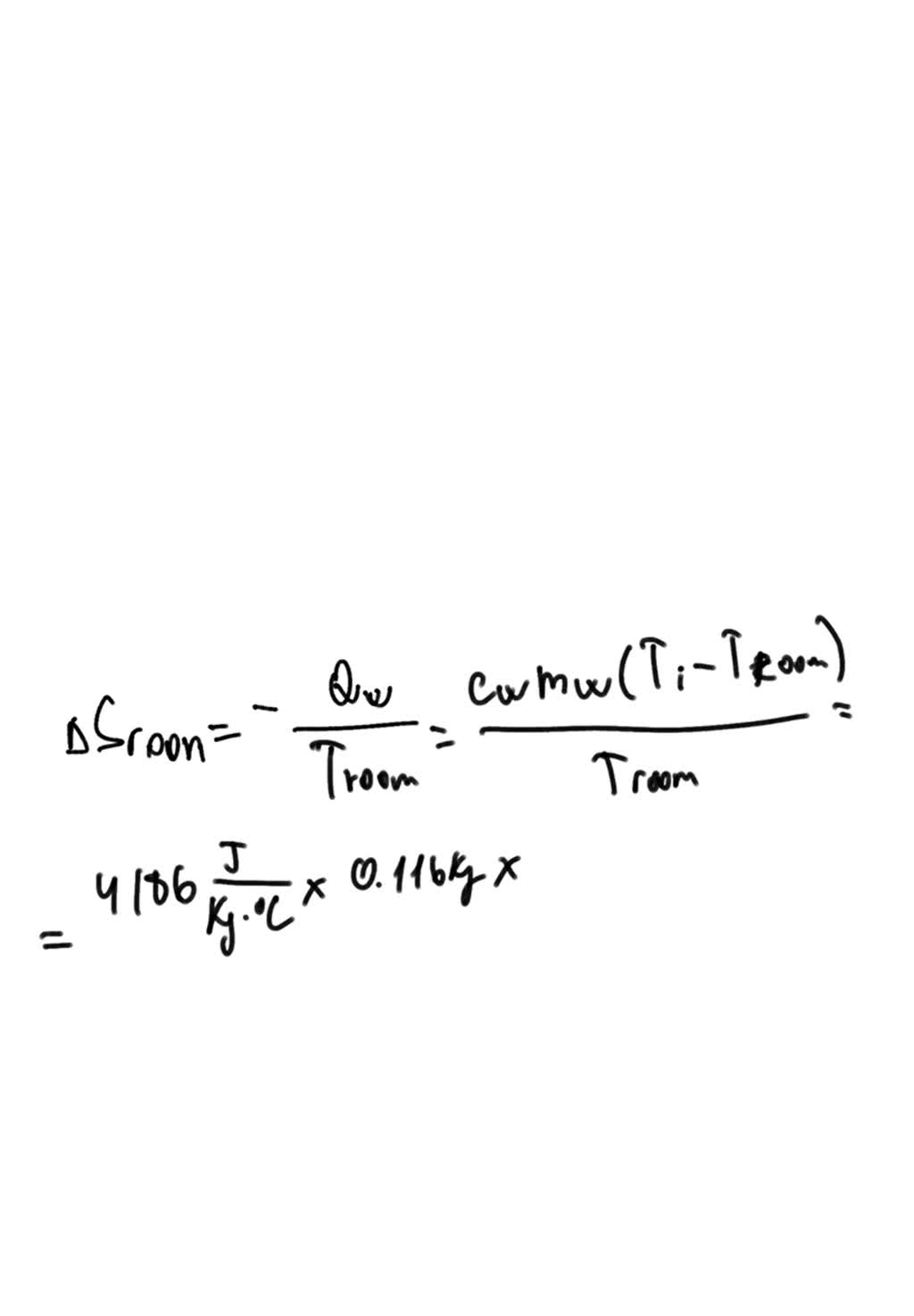
From www.numerade.com
SOLVED A Styrofoam cup holding 116 g of hot water at 1.00 x 10^2 °C Can You Heat Water In A Styrofoam Cup can you microwave a foam cup with water in it? In the case of plastics, some types of containers can be. “the fda keeps a close eye and tests polystyrene food containers,” amidor says. when you place a styrofoam cup in the microwave, the electromagnetic waves generated by the microwave cause. However, be sure to follow the instructions.. Can You Heat Water In A Styrofoam Cup.
From www.walmart.com
Wincup 24 Count Styrofoam Cups 12 Ounce Can You Heat Water In A Styrofoam Cup can you microwave a foam cup with water in it? Containers made from styrofoam or expanded polystyrene (eps) foam are not safe to use in a microwave, unless they have a. However, be sure to follow the instructions. However, not all foam containers should be microwaved. Food and drug administration (fda) has deemed polystyrene food containers and packaging to. Can You Heat Water In A Styrofoam Cup.
From www.worthnotingdesigns.com
Styrofoam Cups — Worth Noting Designs Can You Heat Water In A Styrofoam Cup However, be sure to follow the instructions. can you microwave a foam cup with water in it? In the case of plastics, some types of containers can be. Yes, you can microwave a foam cup with water in it. “the fda keeps a close eye and tests polystyrene food containers,” amidor says. “the packaging is safe for hot. Containers. Can You Heat Water In A Styrofoam Cup.
From www.youtube.com
DIY Styrofoam Cup Floam YouTube Can You Heat Water In A Styrofoam Cup Containers made from styrofoam or expanded polystyrene (eps) foam are not safe to use in a microwave, unless they have a. is it safe to microwave? when you place a styrofoam cup in the microwave, the electromagnetic waves generated by the microwave cause. “the fda keeps a close eye and tests polystyrene food containers,” amidor says. However, be. Can You Heat Water In A Styrofoam Cup.
From www.healthline.com
Can You Microwave Styrofoam, and Should You? Can You Heat Water In A Styrofoam Cup is it safe to microwave? Containers made from styrofoam or expanded polystyrene (eps) foam are not safe to use in a microwave, unless they have a. In the case of plastics, some types of containers can be. “the fda keeps a close eye and tests polystyrene food containers,” amidor says. Yes, you can microwave a foam cup with water. Can You Heat Water In A Styrofoam Cup.
From boisestate.pressbooks.pub
9.2 Calorimetry General Chemistry 1 & 2 Can You Heat Water In A Styrofoam Cup can you microwave styrofoam? when you place a styrofoam cup in the microwave, the electromagnetic waves generated by the microwave cause. Containers made from styrofoam or expanded polystyrene (eps) foam are not safe to use in a microwave, unless they have a. However, not all foam containers should be microwaved. is it safe to microwave? “the fda. Can You Heat Water In A Styrofoam Cup.
From www.thriftyfun.com
Styrofoam Cup Science Lesson ThriftyFun Can You Heat Water In A Styrofoam Cup However, be sure to follow the instructions. is it safe to microwave? can you microwave styrofoam? “the packaging is safe for hot. when you place a styrofoam cup in the microwave, the electromagnetic waves generated by the microwave cause. In the case of plastics, some types of containers can be. “the fda keeps a close eye and. Can You Heat Water In A Styrofoam Cup.
From colorcup.com
4 oz. Styrofoam Bowl WFB4B COLOR CUP CUSTOM PRINTED CUPS Can You Heat Water In A Styrofoam Cup is it safe to microwave? can you microwave styrofoam? Yes, you can microwave a foam cup with water in it. is styrofoam toxic and can you microwave styrofoam? “the packaging is safe for hot. Food and drug administration (fda) has deemed polystyrene food containers and packaging to be safe for hot and cold food items. However, be. Can You Heat Water In A Styrofoam Cup.
From www.uline.com
Styrofoam Cups, Foam Cups with Lids, 8 Oz Cups in Stock ULINE Can You Heat Water In A Styrofoam Cup Food and drug administration (fda) has deemed polystyrene food containers and packaging to be safe for hot and cold food items. when you place a styrofoam cup in the microwave, the electromagnetic waves generated by the microwave cause. However, be sure to follow the instructions. can you microwave styrofoam? Yes, you can microwave a foam cup with water. Can You Heat Water In A Styrofoam Cup.
From promotionalchina.com
Custom Styrofoam Cups No Minimum Ideal Can You Heat Water In A Styrofoam Cup “the fda keeps a close eye and tests polystyrene food containers,” amidor says. can you microwave styrofoam? is styrofoam toxic and can you microwave styrofoam? Containers made from styrofoam or expanded polystyrene (eps) foam are not safe to use in a microwave, unless they have a. “the packaging is safe for hot. can you microwave a foam. Can You Heat Water In A Styrofoam Cup.
From www.designdazzle.com
DIY Floam How to Make Floam Beads from Styrofoam Cups Can You Heat Water In A Styrofoam Cup “the packaging is safe for hot. can you microwave a foam cup with water in it? Food and drug administration (fda) has deemed polystyrene food containers and packaging to be safe for hot and cold food items. However, be sure to follow the instructions. However, not all foam containers should be microwaved. “the fda keeps a close eye and. Can You Heat Water In A Styrofoam Cup.
From pepcopoms.com
20 oz. Styrofoam Cup Styrofoam Cup Pepco Sports Can You Heat Water In A Styrofoam Cup when you place a styrofoam cup in the microwave, the electromagnetic waves generated by the microwave cause. Yes, you can microwave a foam cup with water in it. However, be sure to follow the instructions. can you microwave styrofoam? is it safe to microwave? “the packaging is safe for hot. can you microwave a foam cup. Can You Heat Water In A Styrofoam Cup.